All The Basics That You Need To Get Started With Quantum Computing
A simple introduction to how Quantum computers work and why they matter.
Most people are unaware of Quantum Computing, even as it is being developed at a rapid pace in research labs of early-stage startups and major tech companies.
In December 2024, Google launched its most powerful quantum computer called Willow.
Willow performed a computation in under 5 minutes that would take one of today’s fastest supercomputers 10 septillion or 10²⁵ years, a number larger than the age of the Universe.
And that’s not it.
By 2035, the global market for quantum computing is expected to generate an optimistically estimated $2 trillion value.
That’s huge!
Many of us find this field daunting, given that it is highly math-intensive and there are not many resources available on the internet to understand it well.
But not anymore! Here are the basics that you need to know to get started with Quantum Computing and finally decode all the jargon around it.
What Is Quantum Computing?
Quantum computing (QC) is an approach to computation that uses quantum mechanical phenomena to process information.
Unlike classical computers, which use bits (0 or 1), quantum computers use Quantum bits, or Qubits, and their unique properties to perform calculations.
Although many believe that Quantum computers are simply regular computers performing faster calculations, this is far from the truth.
Quantum computers have very specific use cases, such as:
Quickly factoring large numbers (required in Cryptographic algorithms)
Faster database search
Running complex Quantum simulations
Finding optimal solutions to complex problems
They are not suitable for regular tasks such as web browsing, word processing, or gaming, and will not replace your laptops.
What Is A Qubit?
A Qubit is the basic unit of information in quantum computing, just like how a bit is the basic unit in classical computers.
A qubit can exist in multiple states at once (a combination of 0 and 1), and its specific properties can be used to make quantum computing possible. (We will discuss these properties soon in the following sections.)
There are various ways in which qubits can be physically created, and a brief summary of these methods, along with the companies involved in their manufacturing, is shown below.
What Is A Qubit Mathematically?
Mathematically, a Qubit is a 2-dimensional complex vector in a mathematical space called Hilbert space.
To visualise this 2-D complex Hilbert space on a 3-D real (not complex) space and make it more intuitive for operations and calculations, we use something called the Bloch Sphere.
A more detailed illustration of the Bloch sphere is shown below, where the north (positive Z-axis) and south (negative Z-axis) poles represent the basis states |0> and |1>, respectively.
These basis states correspond to classical bit values where |0> represents bit 0 and |1> represents bit 1.

What Is The Bra-Ket Notation?
Operations in quantum computing heavily rely on concepts from linear algebra and statistics.
To make quantum states and operations easy to work with, we use the Bra-ket notation (also known as Dirac notation, invented by physicist Paul Dirac).
In this notation:
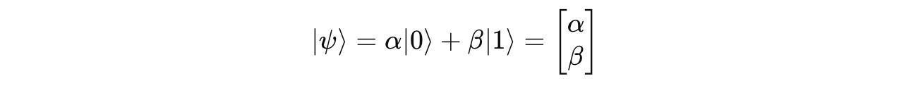
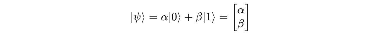
a Ket, written as
|ψ>, is a column vector that represents a quantum state/ qubit.a Bra, written as
<ψ|, is a row vector that represents the complex conjugate transpose of the ket|ψ>.The inner product of a ket
|ψ>and a bra<φ|, written as<φ|ψ>, tells the probability amplitude of measuring state|ψ>in state|φ>.
What Is Quantum Superposition?
Quantum superposition is the ability of a quantum system (single or multiple qubits) to exist in multiple states simultaneously until measured.
This is shown in the equation below, where a qubit, represented by the ket |ψ> exists as a combination of the states |0> and |1> simultaneously.
where α and β are complex numbers called Probability amplitudes, whose squared magnitudes (α², β²) give the probabilities of measuring the qubit in basis states |0> and |1>, respectively.
Measurement Changes Qubits Irreversibly
A qubit’s state in superposition is well represented in Schrödinger’s cat experiment.
In the experiment, a cat is put in a box with a radioactive atom, a detector, and poison.
If the atom decays, the detector breaks the poison vial, and the cat dies. If not, the cat lives.
Until someone opens the box, the cat is both alive and dead at the same time or is in a state of superposition.
The moment you open the box to check (“measure its state”), the cat becomes definitively one or the other, irreversibly.
Similarly, for qubits, once measured, they exit superposition and get permanently in one of their constituent states.
This property enables quantum computers to process multiple possibilities for solving a problem simultaneously, and also forms the basis of many quantum cryptographic techniques.
What Is Quantum Entanglement?
Quantum entanglement is another fascinating property of quantum systems that occurs when two or more qubits are connected in a way that measuring one instantly affects the other, regardless of the distance between them.
This property is again used in various quantum algorithms and error correction mechanisms within a quantum computer.
Note that both these terms (superposition and entanglement) are wrongly used in the macroscopic world to spread superstitious misinformation.
To clarify, they do not apply to humans or any other object in the macroscopic world, but only to quantum particles.
What Makes A Quantum Computer?
A quantum computer is built using basic blocks called Quantum gates, which are similar to logical gates used in classical computers.
These gates are connected together to form Quantum circuits that work on single or multiple qubits to change their states and perform calculations.
Some notable examples of Quantum gates are:
Pauli gates that act on a single qubit to change its state
Hadamard Gate: which can create a superposition state given a single qubit
CNOT Gate: A gate that acts on two qubits and is widely used to create entanglement between qubits
What Are Quantum Algorithms?
Quantum algorithms are step-by-step procedures that use quantum principles, as discussed previously, to solve complex problems.
Two of the well-known quantum algorithms you’ll hear about often are:
Shor’s algorithm: Used to factor large numbers efficiently and can break RSA encryption
Grover’s algorithm: Used to search unsorted databases quadratically faster
Besides these, there are quantum simulation algorithms that model molecules more accurately than classical computers and can be used in drug discovery and materials science.
Note that none of the current quantum computers are powerful enough to run these algorithms, but this might change very soon, given the exponential rate of growth and development in quantum computing technology.
What’s Holding Quantum Computing Back?
Our current approaches to building qubits require extreme conditions, such as ultra-low temperatures and environmental isolation.
This is because qubits are fragile and lose their quantum state quickly when they interact with the environment. This is called Quantum decoherence.
This makes assembling and controlling millions of stable qubits incredibly difficult, as error rates climb rapidly the more qubits we combine.
Here are some metrics that you must know about when studying the performance of quantum computers.

I am optimistic that we will develop more effective physical methods to build qubits and correct their errors, ultimately reaching practical quantum computers within the coming decade.
How Can You Work With Quantum Computers Today?
Multiple companies offer access to their quantum computers as a cloud-based service these days.
Some of the popular ones are:
Two popular toolkits available today to work with quantum computers are Qiskit from IBM and Cirq from Google. Both of these are written in Python, which makes them easy to use.
Using real quantum computers can be very expensive. Alongside this, many of them are noisy and have limited qubit counts. Therefore, running experiments on a real quantum computer might not always be the best option, and quantum simulators (such as Google’s qsim, and IBM’s AerSimulator) can be used in many cases.
If you’re looking for some practical lessons to get started with working with a quantum computer, the following would be helpful:
Your First Quantum Program: Build A Truly Random Number Generator With Qiskit
A Practical Guide To Running Your First Program On An IBM Quantum Computer
Build A Quantum Circuit Using Single-Qubit Quantum Gates With Qiskit
That’s everything for this article!
Illustrations used in this article are obtained from my upcoming book, ‘Quantum Computing In 100 Images’, unless stated in the captions.
Check out the other books in my Visual Tech series using this link.


















Looking forward for the book. I have all your books. This is exiting.
You're getting into zen-existential "if a tree falls in the forest..." territory here and there is only one right answer, regardless of how adamantly someone may deliver another answer, how many votes it gets or how many letters follow the answerer's name.
The question boils down to whether the physical (including "quantum") world exists outside a person's perception of it. Since not one person alive truly understands the nature of consciousness, human existence, human perception or death (or even the complete nature of "quanta"), the right answer at this time is "I don't know." Any other answer is a hypothesis, not a fact.
Hypotheses (guesses) are fine - they keep a discussion going, and fuel more experiments to search for indisputable truth. But, far too often, scientists parlay non-facts as fact, usually to push an agenda. When they do they are no better than the religionists they often scoff at for pushing faith as fact. In both camps "I don't know" needs to be said more often, eliminating hubris, posturing and agendas, and demonstrating the rare quality of honesty.