An Introduction To Bra-Ket (Dirac) Notation
Learn about Bra-Ket or Dirac notation, a powerful mathematical tool used to describe Quantum systems.
This lesson will combine many concepts from the previous lessons on the mathematics required for quantum mechanics and quantum computing.
Here are these lessons, in case you missed them:
This lesson is fundamental for understanding quantum computing, so try to learn it really well.
Let’s begin!
What Is The Bra-Ket Notation?
Paul Dirac created and introduced Bra-ket notation in his 1939 publication A New Notation for Quantum Mechanics.
This notation is an easier and more compact way to express quantum mechanical states and operations.
It consists of:
Ket ∣ψ⟩ that represents a quantum state
Bra ⟨ψ∣ that is the complex conjugate transpose of the ket.
(Transpose means that the rows and columns of a ket switch to become the columns and rows of a bra, respectively.)
If you’re familiar with linear algebra,
Ket can be thought of as a column vector and Bra as a row vector.

An easy trick to remember them is that Ket sounds similar to Column, or that a Bra has its elements stacked horizontally (you know what I mean).
Why Do We Need Kets?
Ket is so important because it represents the state of a quantum system.
For a ket ∣ψ⟩, ψ (psi) is the state's name.
Look at some examples below.
∣0⟩: A state representing a classical 0-bit.
∣1⟩: A state representing a classical 1-bit.
|↑⟩: A state representing the up state of an electron
|↓⟩: A state representing the down state of an electron
Remember Superposition?
A quantum system that is the superposition of two states ∣0⟩ and ∣1⟩ can be described as a ket, as shown below:
∣ψ⟩ = α∣0⟩ + β∣1⟩
In the above equation:
α and β are complex numbers called Probability amplitudes.
The probability that the system will collapse into state ∣0⟩ when measured is given by |α|², the squared magnitude of α.
Similarly, the probability that the system will collapse into state ∣1⟩ when measured is given by |β|², the squared magnitude of β.
We know that the total probability of all possible outcomes always equals 1, therefore:
|α|² + |β|² = 1
It is important to learn that Probability amplitudes can be negative as well, and they do not directly represent probabilities. It is their squared magnitudes that do.
Next, let’s learn what we can do with the bra and kets.
Inner Product To Combine a Bra and a Ket
An inner product measures the overlap between two states.
If you’re familiar with linear algebra, this is the Dot product of two states.
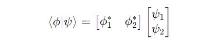
Let’s take two quantum states or kets ∣ϕ⟩ and ∣ψ⟩.
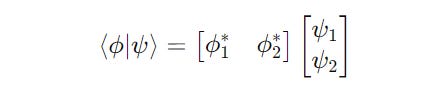
To find their inner product, we first calculate the bra of ∣ϕ⟩, i.e. we obtain ⟨ϕ∣
Next, we perform matrix multiplication between ⟨ϕ∣ and ∣ψ⟩.
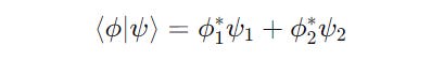
This results in a single complex number as follows.
This representation of the inner product resembles a bracket and leads to the terms bra and ket.
The bra forms the left part and the ket the right part of the inner product in Dirac notation, similar to the word “Bracket”.
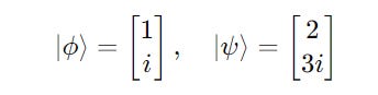
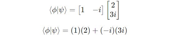
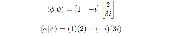
Calculating Inner Product: An Example
Let’s two kets as follows:
To calculate their inner product, we first find the bra of |ϕ>, i.e. ⟨ϕ∣ :
We then multiply them as shown below:
This results in the final answer 5.
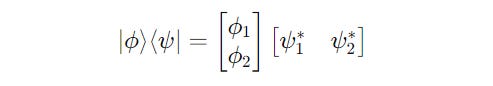
Outer Product To Combine a Bra and a Ket
To calculate an outer product of two quantum states ∣ϕ⟩ and ∣ψ⟩ as shown below,
we first calculate the bra of ∣ψ⟩, i.e. we obtain ⟨ψ∣.
Next, the outer product is calculated as follows:
Unlike a single number, as with the inner product result, the result of the outer product is a matrix, as shown below.
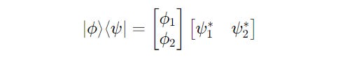
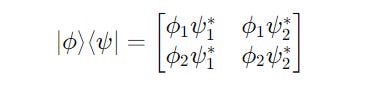
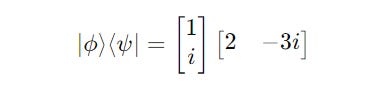
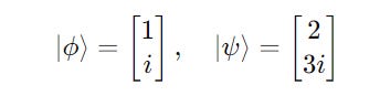
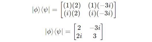
Calculating Outer Product: An Example
Let’s take two kets as follows:
To calculate their outer product, we first find the bra of |ψ>, i.e. ⟨ψ∣ :
Next, we multiply these as follows:
The answer is a matrix, as shown below.
We will get back to where these inner and outer product operations of quantum systems are used, but for now, I just want you to get really familiar with doing these calculations.
Operators
Operators are actions on quantum states that transform them.
Think of them like ‘functions’.
For a quantum state represented by ket |ψ>, an operator  can act on it and transform it into another quantum state represented by ket ∣ϕ⟩.
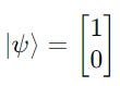
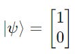
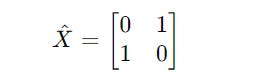
Let’s take an example of a ket |ψ>. This ket is also termed ∣0⟩ in quantum mechanics.
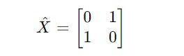
Take an operator called the Pauli-X or quantum NOT gate (don’t bother about these terms for now), shown below:
When the operator acts on the ket, the following transformation (matrix multiplication) occurs:
The resulting ket is termed ∣1⟩ in quantum mechanics.
What the operator essentially does here is transform the ket ∣0⟩ into ∣1⟩.
(This will have its utility later; you should not worry too much about it for now.)
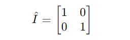
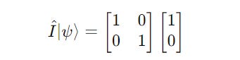
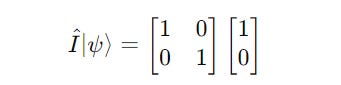
Let’s take another example using an operator denoted with Î.
When this operator acts on the ket |ψ>, the following happens:
We see that we are back to our original ket |ψ>.
This operator, Î, is called the Identity operator. This is similar to an Identity function.
All the identity operator does is leave the ket unchanged.
That’s everything for this short lesson on Dirac Notation.
See you soon in the next one!


























