6 Qiskit Questions to Get Started with Quantum Computing
These questions will help you get hands-on experience with IBM Qiskit.
We just finished solving six important mathematical questions to understand Quantum computing better.
It’s now time to get hands-on and code.
Here are six questions that we will solve in the coming weeks to learn Qiskit.
If you’re new to Qiskit, it is an open-source, Python-based, high-performance software stack for quantum computing developed by IBM Research.
Let’s begin!
Question 1
Create a 1-qubit quantum circuit that:
Starts in the state |0>
Applies a Hadamard gate
Measures the qubit
Write the Qiskit code and simulate the circuit using a Qiskit simulator.
Question 2
Create a 1-qubit quantum circuit that:
Applies an X gate
Applies a Z gate
Measures the qubit
Predict the final measurement result before running and verify using a Qiskit simulator.
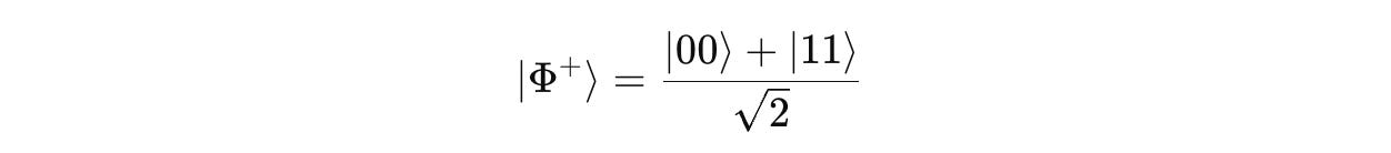
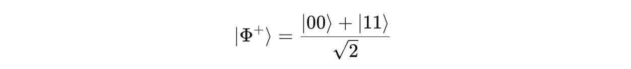
Question 3
Create a 2-qubit circuit that prepares the following Bell state. Measure both qubits using a Qiskit simulator and show the results.
Question 4
Find the sequence of X, Y, and Z gates that transforms the quantum state |+⟩ to i|-⟩ . Verify the results using a Qiskit simulator.
Question 5
Create a three-qubit Greenberger-Horne-Zeilinger (GHZ) state in Qiskit. Measure and simulate the circuit using a Qiskit simulator.
Question 6
Create a three-qubit W-state in Qiskit. Measure and simulate the circuit using a Qiskit simulator.
If you’re completely new to Qiskit, start with these lessons and then try solving these questions.
Stay tuned for the upcoming solutions. See you soon!










Solid progression here. The jump from single-qubit gates to Bell states in question 3 is where most beginners actually hit a wall, not becasue the math is hard but because entanglement breaks the classical intuition they've been relying on. One thing worth adding might be error mitigation checks between these steps so peopel can see how noise creeps into real hardware runs versus simulator perfection.