Quantum Lego: Building States Using Quantum Gates
Solution to Question 4 of the ongoing Quantum programming challenge.
Hey everyone!
I recently published a challenge with 6 Qiskit questions to get started with Quantum Computing.
Here is the solution to the fourth question from the challenge.
Before we move forward, I want to introduce you to the Visual Tech Bundle.
It is a collection of visual guides that explain core AI, LLM, Systems design, and Computer science concepts via image-first lessons.
Others are already loving these books.
This includes Dharmesh Shah, the co-founder and CEO of HubSpot.

Why not give them a try?
Now back to our lesson!
Question 4
Find the sequence of X, Y, and Z gates that transforms the quantum state |+⟩ to i|-⟩ . Verify the results using a Qiskit simulator.
Solution 4
|+> and |-> can be written as follows:
And, our target i|-> can be written as:
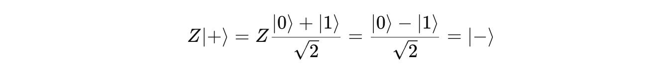
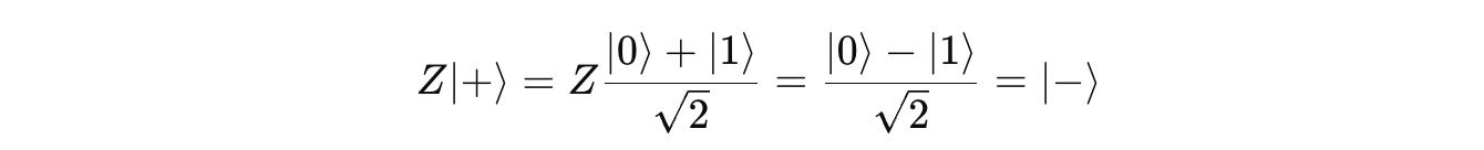
We know from previous lessons that the Pauli-Z gate causes a phase flip for a qubit in the state |1> but leaves |0⟩ unchanged.
Applying Pauli-Z to |+> results in:
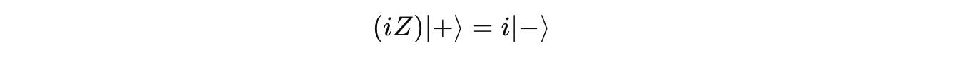
From here, to get i|->, we can simply multiply both sides by i as follows:
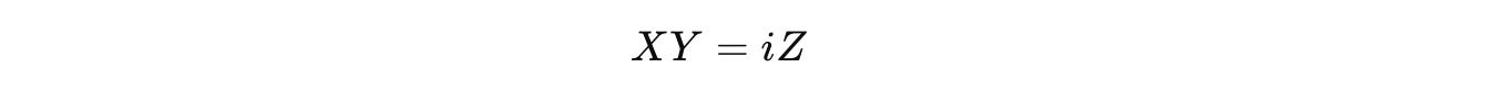
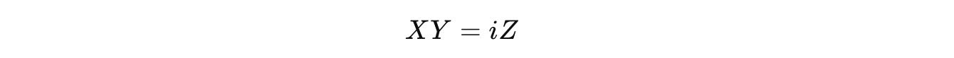
Note the iZ term on the LHS. We know from a previous lesson on Quantum gate relations, that:
To apply XY to a state, the circuit must do:
Apply Y first
Then apply X
(Read it again!)
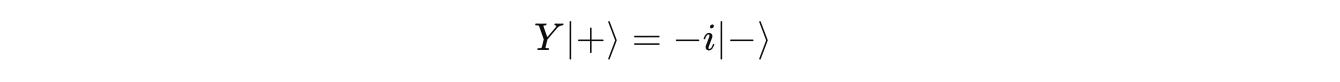
Following this, applying Pauli-Y to |+> results in:
Next, applying Pauli-X to this state results in our desired state.
Verifying the Result with a Quantum Simulator
Here is a program that checks whether our results are correct using the Qiskit simulator.
We start by importing the necessary libraries.
from qiskit import QuantumCircuit
from qiskit.quantum_info import Statevector
import numpy as npNext, we create a quantum circuit with one qubit and apply our gate sequence.
The Hadamard gate (H) creates the |+> state from the default |0> state, which is followed by applying the Y and X gates.
# Create circuit
circuit = QuantumCircuit(1)
circuit.h(0) # Convert |0> to |+>
circuit.y(0) # Apply Y
circuit.x(0) # Apply XWe can visualize the circuit as follows.
# Visualise the circuit
print(circuit)
"""
Output:
┌───┐┌───┐┌───┐
q: ┤ H ├┤ Y ├┤ X ├
└───┘└───┘└───┘
"""Next, we use the Statevector class to simulate the circuit and compute the final quantum state after all gates have been applied.
sv = Statevector(circuit)
print(sv)
"""
Output:
Statevector([0.+0.70710678j, 0.-0.70710678j],
dims=(2,))
"""In the final step, we manually define our target state i|-> and compare it against the simulation result.
target = np.array([1j/np.sqrt(2), -1j/np.sqrt(2)]) # |->
print("Target:", target)
"""
Output:
Target: [ 0.+0.70710678j -0.-0.70710678j]
"""print("Result matches the target") if np.allclose(sv.data, target) else print("Result does not match the target")
"""
Output:
Result matches the target
"""The simulation confirms that applying the gate sequence Pauli-Y followed by Pauli-X to the state |+> successfully produces the target state i|->.
That’s everything for this article.
Thanks for being a curious reader of ‘Into Quantum’, a publication that teaches essential concepts in Quantum Computing from the ground up.
To get even more value from this publication, consider becoming a paid subscriber.















Impressive how the gate sequence explanation breaks down somethng complex into digestible steps. The visualization of iZ as XY really helps, since most intro texts just show gate matrices without showing the compositional relationships. When I was learning this stuff, seeing how phase flips and bit flips combine would have saved alot of headscratching time.