How to prove that a matrix is Unitary?
Essential Linear algebra lessons for Quantum engineering.
In the last post, I shared with you 5 questions that will help you become great at linear algebra and ace Quantum computing.
Let’s dive into the solution to the first one.
Question 1
Given the following matrix U:
Prove that
Uis a Unitary matrix.Next, apply
Uto the state|0>and express the resulting state in Dirac notation and vector form.Finally, compute the measurement probabilities in the computational basis.
Solution 1
1.1: Prove that U is a unitary matrix.
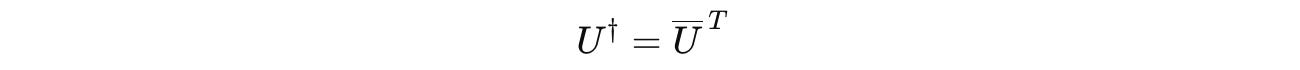
A Unitary matrix is a square matrix whose conjugate transpose is its inverse.
Or, a Unitary matrix multiplied with its conjugate transpose returns the Identity matrix.
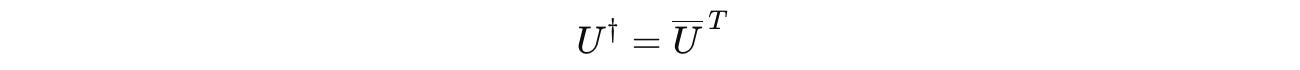
Let’s start with finding the conjugate transpose (U†) of U.
To compute it, we:
Take the complex conjugate of each entry in the matrix
Transpose the matrix
This is shown mathematically as follows:
Since all entries in U are real, the complex conjugate of it is the same as the original matrix.
Next, we transpose U:
This means that the conjugate transpose of U equals the original matrix.
Followed by this, we compute U†U as follows:
Since we obtain the Identity matrix, this proves that U is a Unitary matrix.
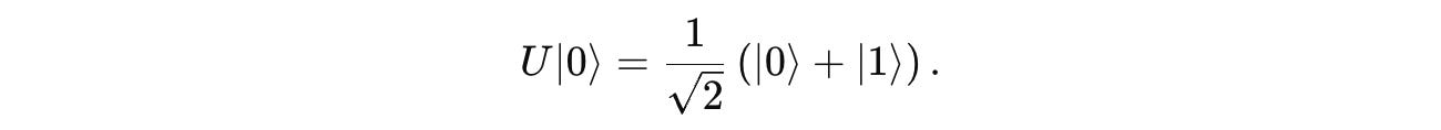
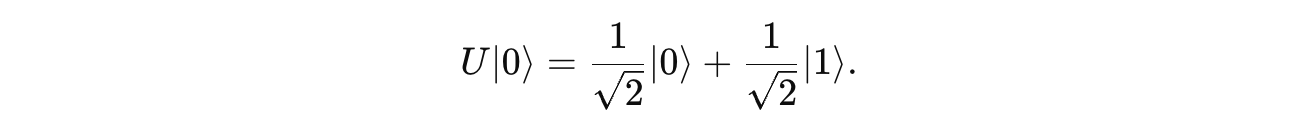
1.2: Apply U to the state |0> and express the resulting state in Dirac notation and vector form.
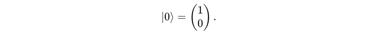
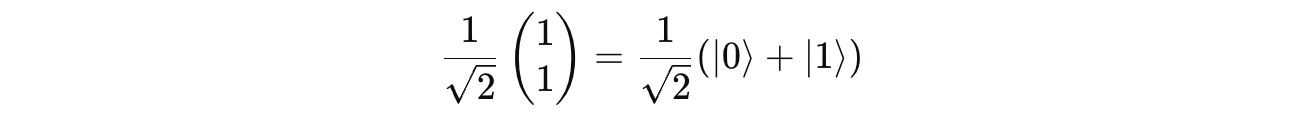
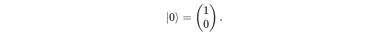
In the vector form:
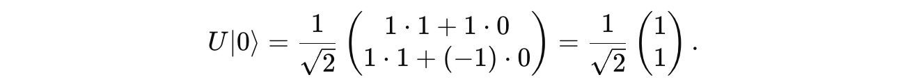
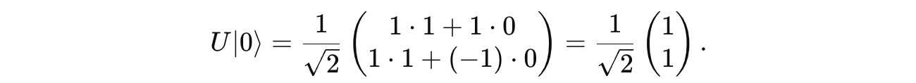
Applying U to |0> results in the following vector:
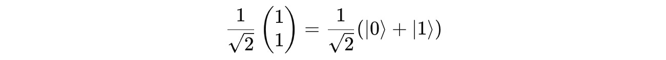
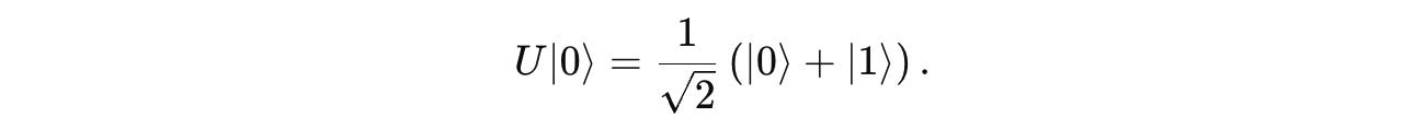
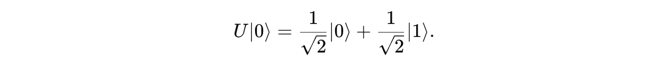
This vector in the Dirac notation is as follows:
1.3: Compute the measurement probabilities in the computational basis.
The computational basis is { |0> , |1> } and the resulting state is as follows:
The measurement probabilities are the squared magnitudes of the amplitudes of this state, as follows:
Quick question: Would you like to guess which quantum gate U represents? Let me know in the comments below!
Thanks for being a curious reader of ‘Into Quantum’, a publication that teaches essential concepts in Quantum Computing from the ground up.
To get even more value from this publication, consider becoming a paid subscriber.



















