5 Questions to Build Your Muscle in Linear Algebra for Quantum Computing
Strengthen your linear algebra skills by solving these questions by hand.
Here are 5 questions to strengthen your linear algebra skills and make you a better quantum engineer.
Solve them by hand and share their solutions in the community chat.
1
Given the following matrix U:
Prove that
Uis a unitary matrix.Next, apply
Uto the state|0>and express the resulting state in Dirac notation and vector form.Finally, compute the measurement probabilities in the computational basis.
2
Given the following matrix A:
Prove that it is Hermitian
Find its eigenvalues and orthonormal eigenvectors
3
Given two quantum states as follows:
Compute their inner product
Compute their Fidelity
4
Given two matrices A and B:
Compute the commutator
[A,B] = AB − BACheck if
AandBcommute.
5
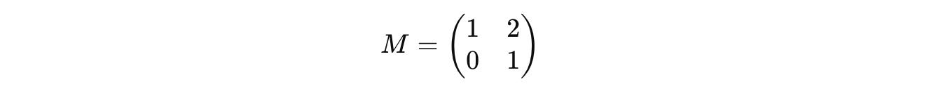
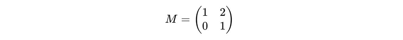
For the given matrix M:
Compute
M † MFind the eigenvalues of
M † MDetermine the singular values of M.
I’ll see you soon with detailed solutions to the questions.
Thanks for being a curious reader of ‘Into Quantum’, a publication that teaches essential concepts in Quantum Computing from the ground up.
To get even more value from this publication, consider becoming a paid subscriber.








