Combining Our Learnings So Far: Basis Rotation & Probability Amplitude Calculations
Let's step by step solve a problem to solidify our understanding of Quantum calculations

Here’s a problem statement:
Given a spin-up electron (qubit) in the standard basis (0° orientation), we need to measure it using a measuring apparatus rotated by 120° and find the probability of obtaining spin-up in the new rotated basis.
Let’s solve it using what we learned from the last lesson.
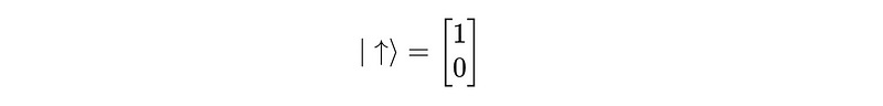
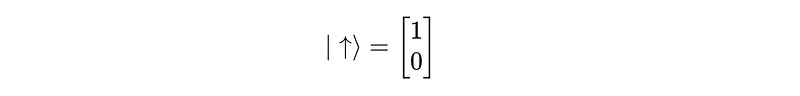
We are given a spin-up electron (qubit) in the standard basis:
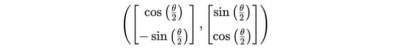
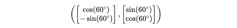
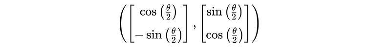
When the measurement apparatus is rotated by 120°, the following transformation matrix gives the associated basis for the rotated system —
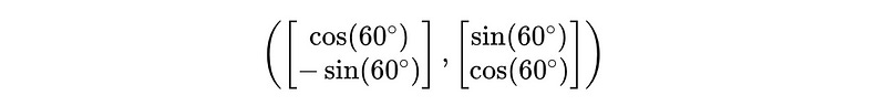
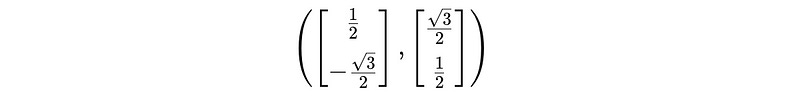
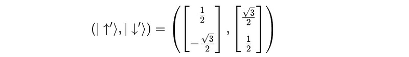
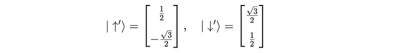
Substituting the values with θ/2 = 120°/2 = 60° , we get:
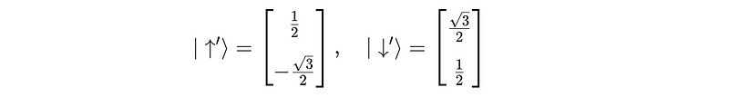
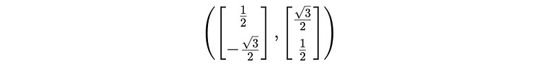
These values represent the new measurement basis when the apparatus is rotated by 120°.
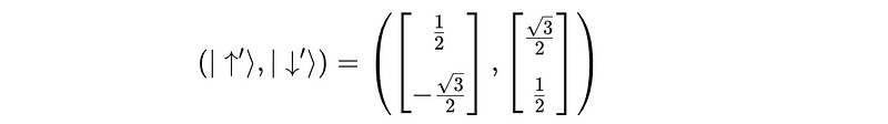
To make it more clear:
The first ket vector/ column is the new “spin-up” state in the rotated basis
The second ket vector/ column is in the new “spin-down” state on a rotated basis.
Btw, my book “Computer Science In 100 Images” is currently available at a 40% discount for early readers. Grab your copy using this link.
Moving on to the next part of the problem statement:
Find the probability of obtaining spin-up in the new rotated basis.
We start by expressing ∣↑⟩ as a linear combination of the new basis vectors.
The probability amplitudes a and b can be further expanded to the following:
(Remember, this is similar to what we did in the previous lesson.)
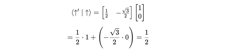
Let’s now calculate them using the following results:
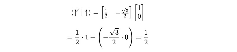
To find a, we calculate the inner product ⟨↑′∣↑⟩:
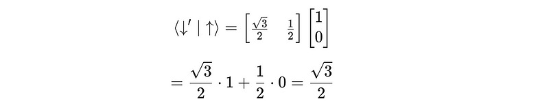
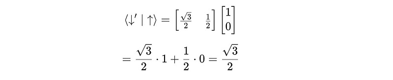
Similarly, to find b, we calculate the inner product ⟨↓′∣↑⟩:
(If this calculation confuses you, this lesson will help you revisit the basics.)
Let’s substitute the above-obtained values in the equation:
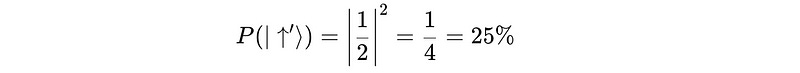
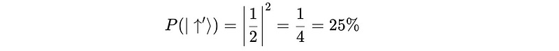
We know that the square of the respective probability amplitudes gives the probabilities of obtaining each state.
Therefore, the solution to our problem of the probability of measuring ∣↑′⟩ (new spin-up) is:
And the probability of measuring ∣↓′⟩ (new spin down) is:
I hope that these calculations make sense. See you soon for another exciting and fundamental lesson on Quantum computing!
Thanks for being a curious reader of “Into Quantum”, a publication that aims to teach Quantum Computing from the very ground up.
















