A Lesson On How Pauli Matrices Are Used To Measure Spin Of Quantum Systems
Learning from Pauli Matrices as Spin Operators from the ground up

In the last lessons, we learned about the mathematics behind Pauli matrices and how they are used as Quantum gates.
You can check out these lessons if you missed them before starting with this one.
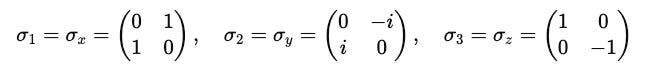
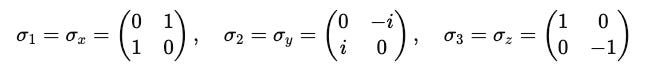
If you’re new to Pauli matrices, they are a set of three matrices termed:
Pauli-X (
σ(x)orσ(1))Pauli-Y (
σ(y)orσ(2)), andPauli-Z (
σ(z)orσ(3))
as shown below:
This is a lesson where we discuss how they are used in Quantum mechanics as spin operators.





